本文由 简悦 SimpRead 转码, 原文地址 www.zhihu.com
Kaito
这个问题非常好,往浅了来讲,主要是它们各自的操作方式不同。
但深入来讲,这个话题「非常大」,它涉及到了「分布式系统」的各种复杂问题。
而一般我们在业务开发中,经常会优先使用 Redis 做分布式锁,因为它性能高,但它真的「安全」吗?
下面我就以 Redis 分布式锁为主线,带你详细剖析一下「分布式锁」这个非常有意思的话题。
读完下面的内容,你不仅可以彻底了解分布式锁,还会对「分布式系统」有更加深刻的理解。
内容稍微有点长,但干货很多,希望你可以耐心读完。

为什么需要分布式锁?
在开始讲分布式锁之前,有必要简单介绍一下,为什么需要分布式锁?
与分布式锁相对应的是「单机锁」,我们在写多线程程序时,避免同时操作一个共享变量产生数据问题,通常会使用一把锁来「互斥」,以保证共享变量的正确性,其使用范围是在「同一个进程」中。
如果换做是多个进程,需要同时操作一个共享资源,如何互斥呢?
例如,现在的业务应用通常都是微服务架构,这也意味着一个应用会部署多个进程,那这多个进程如果需要修改 MySQL 中的同一行记录时,为了避免操作乱序导致数据错误,此时,我们就需要引入「分布式锁」来解决这个问题了。

想要实现分布式锁,必须借助一个外部系统,所有进程都去这个系统上申请「加锁」。
而这个外部系统,必须要实现「互斥」的能力,即两个请求同时进来,只会给一个进程返回成功,另一个返回失败(或等待)。
这个外部系统,可以是 MySQL,也可以是 Redis 或 Zookeeper。但为了追求更好的性能,我们通常会选择使用 Redis 或 Zookeeper 来做。
下面我就以 Redis 为主线,由浅入深,带你深度剖析一下,分布式锁的各种「安全性」问题,帮你彻底理解分布式锁。
分布式锁怎么实现?
我们从最简单的开始讲起。
想要实现分布式锁,必须要求 Redis 有「互斥」的能力,我们可以使用 SETNX 命令,这个命令表示 SET if Not eXists,即如果 key 不存在,才会设置它的值,否则什么也不做。
两个客户端进程可以执行这个命令,达到互斥,就可以实现一个分布式锁。
客户端 1 申请加锁,加锁成功:
|
|
客户端 2 申请加锁,因为后到达,加锁失败:
|
|
此时,加锁成功的客户端,就可以去操作「共享资源」,例如,修改 MySQL 的某一行数据,或者调用一个 API 请求。
操作完成后,还要及时释放锁,给后来者让出操作共享资源的机会。如何释放锁呢?
也很简单,直接使用 DEL 命令删除这个 key 即可:
|
|
这个逻辑非常简单,整体的路程就是这样:

但是,它存在一个很大的问题,当客户端 1 拿到锁后,如果发生下面的场景,就会造成「死锁」:
- 程序处理业务逻辑异常,没及时释放锁
- 进程挂了,没机会释放锁
这时,这个客户端就会一直占用这个锁,而其它客户端就「永远」拿不到这把锁了。
怎么解决这个问题呢?
如何避免死锁?
我们很容易想到的方案是,在申请锁时,给这把锁设置一个「租期」。
在 Redis 中实现时,就是给这个 key 设置一个「过期时间」。这里我们假设,操作共享资源的时间不会超过 10s,那么在加锁时,给这个 key 设置 10s 过期即可:
|
|
这样一来,无论客户端是否异常,这个锁都可以在 10s 后被「自动释放」,其它客户端依旧可以拿到锁。
但这样真的没问题吗?
还是有问题。
现在的操作,加锁、设置过期是 2 条命令,有没有可能只执行了第一条,第二条却「来不及」执行的情况发生呢?例如:
- SETNX 执行成功,执行 EXPIRE 时由于网络问题,执行失败
- SETNX 执行成功,Redis 异常宕机,EXPIRE 没有机会执行
- SETNX 执行成功,客户端异常崩溃,EXPIRE 也没有机会执行
总之,这两条命令不能保证是原子操作(一起成功),就有潜在的风险导致过期时间设置失败,依旧发生「死锁」问题。
怎么办?
在 Redis 2.6.12 版本之前,我们需要想尽办法,保证 SETNX 和 EXPIRE 原子性执行,还要考虑各种异常情况如何处理。
但在 Redis 2.6.12 之后,Redis 扩展了 SET 命令的参数,用这一条命令就可以了:
|
|
这样就解决了死锁问题,也比较简单。
我们再来看分析下,它还有什么问题?
试想这样一种场景:
- 客户端 1 加锁成功,开始操作共享资源
- 客户端 1 操作共享资源的时间,「超过」了锁的过期时间,锁被「自动释放」
- 客户端 2 加锁成功,开始操作共享资源
- 客户端 1 操作共享资源完成,释放锁(但释放的是客户端 2 的锁)
看到了么,这里存在两个严重的问题:
- 锁过期:客户端 1 操作共享资源耗时太久,导致锁被自动释放,之后被客户端 2 持有
- 释放别人的锁:客户端 1 操作共享资源完成后,却又释放了客户端 2 的锁
导致这两个问题的原因是什么?我们一个个来看。
第一个问题,可能是我们评估操作共享资源的时间不准确导致的。
例如,操作共享资源的时间「最慢」可能需要 15s,而我们却只设置了 10s 过期,那这就存在锁提前过期的风险。
过期时间太短,那增大冗余时间,例如设置过期时间为 20s,这样总可以了吧?
这样确实可以「缓解」这个问题,降低出问题的概率,但依旧无法「彻底解决」问题。
为什么?
原因在于,客户端在拿到锁之后,在操作共享资源时,遇到的场景有可能是很复杂的,例如,程序内部发生异常、网络请求超时等等。
既然是「预估」时间,也只能是大致计算,除非你能预料并覆盖到所有导致耗时变长的场景,但这其实很难。
有什么更好的解决方案吗?
别急,关于这个问题,我会在后面详细来讲对应的解决方案。
我们继续来看第二个问题。
第二个问题在于,一个客户端释放了其它客户端持有的锁。
想一下,导致这个问题的关键点在哪?
重点在于,每个客户端在释放锁时,都是「无脑」操作,并没有检查这把锁是否还「归自己持有」,所以就会发生释放别人锁的风险,这样的解锁流程,很不「严谨」!
如何解决这个问题呢?
锁被别人释放怎么办?
解决办法是:客户端在加锁时,设置一个只有自己知道的「唯一标识」进去。
例如,可以是自己的线程 ID,也可以是一个 UUID(随机且唯一),这里我们以 UUID 举例:
|
|
这里假设 20s 操作共享时间完全足够,先不考虑锁自动过期的问题。
之后,在释放锁时,要先判断这把锁是否还归自己持有,伪代码可以这么写:
|
|
这里释放锁使用的是 GET + DEL 两条命令,这时,又会遇到我们前面讲的原子性问题了。
- 客户端 1 执行 GET,判断锁是自己的
- 客户端 2 执行了 SET 命令,强制获取到锁(虽然发生概率比较低,但我们需要严谨地考虑锁的安全性模型)
- 客户端 1 执行 DEL,却释放了客户端 2 的锁
由此可见,这两个命令还是必须要原子执行才行。
怎样原子执行呢?Lua 脚本。
我们可以把这个逻辑,写成 Lua 脚本,让 Redis 来执行。
因为 Redis 处理每一个请求是「单线程」执行的,在执行一个 Lua 脚本时,其它请求必须等待,直到这个 Lua 脚本处理完成,这样一来,GET + DEL 之间就不会插入其它命令了。

安全释放锁的 Lua 脚本如下:
|
|
好了,这样一路优化,整个的加锁、解锁的流程就更「严谨」了。
这里我们先小结一下,基于 Redis 实现的分布式锁,一个严谨的的流程如下:
- 加锁:SET $lock_key$unique_id EX $expire_time NX
- 操作共享资源
- 释放锁:Lua 脚本,先 GET 判断锁是否归属自己,再 DEL 释放锁

好,有了这个完整的锁模型,让我们重新回到前面提到的第一个问题。
锁过期时间不好评估怎么办?
锁过期时间不好评估怎么办?
前面我们提到,锁的过期时间如果评估不好,这个锁就会有「提前」过期的风险。
当时给的妥协方案是,尽量「冗余」过期时间,降低锁提前过期的概率。
这个方案其实也不能完美解决问题,那怎么办呢?
是否可以设计这样的方案:加锁时,先设置一个过期时间,然后我们开启一个「守护线程」,定时去检测这个锁的失效时间,如果锁快要过期了,操作共享资源还未完成,那么就自动对锁进行「续期」,重新设置过期时间。
这确实一种比较好的方案。
如果你是 Java 技术栈,幸运的是,已经有一个库把这些工作都封装好了:Redisson。
Redisson 是一个 Java 语言实现的 Redis SDK 客户端,在使用分布式锁时,它就采用了「自动续期」的方案来避免锁过期,这个守护线程我们一般也把它叫做「看门狗」线程。

除此之外,这个 SDK 还封装了很多易用的功能:
- 可重入锁
- 乐观锁
- 公平锁
- 读写锁
- Redlock(红锁,下面会详细讲)
这个 SDK 提供的 API 非常友好,它可以像操作本地锁的方式,操作分布式锁。如果你是 Java 技术栈,可以直接把它用起来。
这里不重点介绍 Redisson 的使用,大家可以看官方 Github 学习如何使用,比较简单。
到这里我们再小结一下,基于 Redis 的实现分布式锁,前面遇到的问题,以及对应的解决方案:
- 死锁:设置过期时间
- 过期时间评估不好,锁提前过期:守护线程,自动续期
- 锁被别人释放:锁写入唯一标识,释放锁先检查标识,再释放
还有哪些问题场景,会危害 Redis 锁的安全性呢?
之前分析的场景都是,锁在「单个」Redis 实例中可能产生的问题,并没有涉及到 Redis 的部署架构细节。
而我们在使用 Redis 时,一般会采用主从集群 + 哨兵的模式部署,这样做的好处在于,当主库异常宕机时,哨兵可以实现「故障自动切换」,把从库提升为主库,继续提供服务,以此保证可用性。
那当「主从发生切换」时,这个分布锁会依旧安全吗?
试想这样的场景:
- 客户端 1 在主库上执行 SET 命令,加锁成功
- 此时,主库异常宕机,SET 命令还未同步到从库上(主从复制是异步的)
- 从库被哨兵提升为新主库,这个锁在新的主库上,丢失了!

可见,当引入 Redis 副本后,分布锁还是可能会受到影响。
怎么解决这个问题?
为此,Redis 的作者提出一种解决方案,就是我们经常听到的 **Redlock(** )红锁。
它真的可以解决上面这个问题吗?
Redlock 真的安全吗?
好,终于到了重头戏。啊?上面讲的那么多问题,难道只是基础?
是的,那些只是开胃菜,真正的硬菜,从这里刚刚开始。
如果上面讲的内容,你还没有理解,我建议你重新阅读一遍,先理清整个加锁、解锁的基本流程。
如果你已经对 Redlock 有所了解,这里可以跟着我再复习一遍,如果你不了解 Redlock,没关系,我会带你重新认识它。
值得提醒你的是,后面我不仅仅是讲 Redlock 的原理,还会引出有关「分布式系统」中的很多问题,你最好跟紧我的思路,在脑中一起分析问题的答案。
现在我们来看,Redis 作者提出的 Redlock 方案,是如何解决主从切换后,锁失效问题的。
Redlock 的方案基于 2 个前提:
- 不再需要部署**从库和哨兵实例,只部署主库**
- 但主库要部署多个,官方推荐至少 5 个实例
也就是说,想用使用 Redlock,你至少要部署 5 个 Redis 实例,而且都是主库,它们之间没有任何关系,都是一个个孤立的实例。
注意:不是部署 Redis Cluster,就是部署 5 个简单的 Redis 实例。 
Redlock 具体如何使用呢?
整体的流程是这样的,一共分为 5 步:
- 客户端先获取「当前时间戳 T1」
- 客户端依次向这 5 个 Redis 实例发起加锁请求(用前面讲到的 SET 命令),且每个请求会设置超时时间(毫秒级,要远小于锁的有效时间),如果某一个实例加锁失败(包括网络超时、锁被其它人持有等各种异常情况),就立即向下一个 Redis 实例申请加锁
- 如果客户端从 >=3 个(大多数)以上 Redis 实例加锁成功,则再次获取「当前时间戳 T2」,如果 T2 - T1 < 锁的过期时间,此时,认为客户端加锁成功,否则认为加锁失败
- 加锁成功,去操作共享资源(例如修改 MySQL 某一行,或发起一个 API 请求)
- 加锁失败,向「全部节点」发起释放锁请求(前面讲到的 Lua 脚本释放锁)
我简单帮你总结一下,有 4 个重点:
- 客户端在多个 Redis 实例上申请加锁
- 必须保证大多数节点加锁成功
- 大多数节点加锁的总耗时,要小于锁设置的过期时间
- 释放锁,要向全部节点发起释放锁请求
第一次看可能不太容易理解,建议你把上面的文字多看几遍,加深记忆。 然后,记住这 5 步,非常重要,下面会根据这个流程,剖析各种可能导致锁失效的问题假设。
好,明白了 Redlock 的流程,我们来看 Redlock 为什么要这么做。
1) 为什么要在多个实例上加锁?
本质上是为了「容错」,部分实例异常宕机,剩余的实例加锁成功,整个锁服务依旧可用。
2) 为什么大多数加锁成功,才算成功?
多个 Redis 实例一起来用,其实就组成了一个「分布式系统」。
在分布式系统中,总会出现「异常节点」,所以,在谈论分布式系统问题时,需要考虑异常节点达到多少个,也依旧不会影响整个系统的「正确性」。
这是一个分布式系统「容错」问题,这个问题的结论是:如果只存在「故障」节点,只要大多数节点正常,那么整个系统依旧是可以提供正确服务的。
这个问题的模型,就是我们经常听到的「拜占庭将军」问题,感兴趣可以去看算法的推演过程。
3) 为什么步骤 3 加锁成功后,还要计算加锁的累计耗时?
因为操作的是多个节点,所以耗时肯定会比操作单个实例耗时更久,而且,因为是网络请求,网络情况是复杂的,有可能存在延迟、丢包、超时等情况发生,网络请求越多,异常发生的概率就越大。
所以,即使大多数节点加锁成功,但如果加锁的累计耗时已经「超过」了锁的过期时间,那此时有些实例上的锁可能已经失效了,这个锁就没有意义了。
4) 为什么释放锁,要操作所有节点?
在某一个 Redis 节点加锁时,可能因为「网络原因」导致加锁失败。
例如,客户端在一个 Redis 实例上加锁成功,但在读取响应结果时,网络问题导致读取失败,那这把锁其实已经在 Redis 上加锁成功了。
所以,释放锁时,不管之前有没有加锁成功,需要释放「所有节点」的锁,以保证清理节点上「残留」的锁。
好了,明白了 Redlock 的流程和相关问题,看似 Redlock 确实解决了 Redis 节点异常宕机锁失效的问题,保证了锁的「安全性」。
但事实真的如此吗?
Redlock 的争论谁对谁错?
Redis 作者把这个方案一经提出,就马上受到业界著名的分布式系统专家的质疑!
这个专家叫 Martin,是英国剑桥大学的一名分布式系统研究员。在此之前他曾是软件工程师和企业家,从事大规模数据基础设施相关的工作。它还经常在大会做演讲,写博客,写书,也是开源贡献者。

他马上写了篇文章,质疑这个 Redlock 的算法模型是有问题的,并对分布式锁的设计,提出了自己的看法。
之后,Redis 作者 Antirez 面对质疑,不甘示弱,也写了一篇文章,反驳了对方的观点,并详细剖析了 Redlock 算法模型的更多设计细节。
而且,关于这个问题的争论,在当时互联网上也引起了非常激烈的讨论。
二人思路清晰,论据充分,这是一场高手过招,也是分布式系统领域非常好的一次思想的碰撞!双方都是分布式系统领域的专家,却对同一个问题提出很多相反的论断,究竟是怎么回事?
下面我会从他们的争论文章中,提取重要的观点,整理呈现给你。
提醒:后面的信息量极大,可能不宜理解,最好放慢速度阅读。
分布式专家 Martin 对于 Relock 的质疑
在他的文章中,主要阐述了 4 个论点:
1) 分布式锁的目的是什么?
Martin 表示,你必须先清楚你在使用分布式锁的目的是什么?
他认为有两个目的。
第一,效率。
使用分布式锁的互斥能力,是避免不必要地做同样的两次工作(例如一些昂贵的计算任务)。如果锁失效,并不会带来「恶性」的后果,例如发了 2 次邮件等,无伤大雅。
第二,正确性。
使用锁用来防止并发进程互相干扰。如果锁失效,会造成多个进程同时操作同一条数据,产生的后果是数据严重错误、永久性不一致、数据丢失等恶性问题,就像给患者服用重复剂量的药物一样,后果严重。
他认为,如果你是为了前者——效率,那么使用单机版 Redis 就可以了,即使偶尔发生锁失效(宕机、主从切换),都不会产生严重的后果。而使用 Redlock 太重了,没必要。
而如果是为了正确性,Martin 认为 Redlock 根本达不到安全性的要求,也依旧存在锁失效的问题!
2) 锁在分布式系统中会遇到的问题
Martin 表示,一个分布式系统,更像一个复杂的「野兽」,存在着你想不到的各种异常情况。
这些异常场景主要包括三大块,这也是分布式系统会遇到的三座大山:NPC。
- N:Network Delay,网络延迟
- P:Process Pause,进程暂停(GC)
- C:Clock Drift,时钟漂移
Martin 用一个进程暂停(GC)的例子,指出了 Redlock 安全性问题:
- 客户端 1 请求锁定节点 A、B、C、D、E
- 客户端 1 的拿到锁后,进入 GC(时间比较久)
- 所有 Redis 节点上的锁都过期了
- 客户端 2 获取到了 A、B、C、D、E 上的锁
- 客户端 1 GC 结束,认为成功获取锁
- 客户端 2 也认为获取到了锁,发生「冲突」

Martin 认为,GC 可能发生在程序的任意时刻,而且执行时间是不可控的。
注:当然,即使是使用没有 GC 的编程语言,在发生网络延迟、时钟漂移时,也都有可能导致 Redlock 出现问题,这里 Martin 只是拿 GC 举例。
3) 假设时钟正确的是不合理的
又或者,当多个 Redis 节点「时钟」发生问题时,也会导致 Redlock 锁失效。
- 客户端 1 获取节点 A、B、C 上的锁,但由于网络问题,无法访问 D 和 E
- 节点 C 上的时钟「向前跳跃」,导致锁到期
- 客户端 2 获取节点 C、D、E 上的锁,由于网络问题,无法访问 A 和 B
- 客户端 1 和 2 现在都相信它们持有了锁(冲突)
Martin 觉得,Redlock 必须「强依赖」多个节点的时钟是保持同步的,一旦有节点时钟发生错误,那这个算法模型就失效了。
即使 C 不是时钟跳跃,而是「崩溃后立即重启」,也会发生类似的问题。
Martin 继续阐述,机器的时钟发生错误,是很有可能发生的:
- 系统管理员「手动修改」了机器时钟
- 机器时钟在同步 NTP 时间时,发生了大的「跳跃」
总之,Martin 认为,Redlock 的算法是建立在「同步模型」基础上的,有大量资料研究表明,同步模型的假设,在分布式系统中是有问题的。
在混乱的分布式系统的中,你不能假设系统时钟就是对的,所以,你必须非常小心你的假设。
4) 提出 fecing token 的方案,保证正确性
相对应的,Martin 提出一种被叫作 fecing token 的方案,保证分布式锁的正确性。
这个模型流程如下:
- 客户端在获取锁时,锁服务可以提供一个「递增」的 token
- 客户端拿着这个 token 去操作共享资源
- 共享资源可以根据 token 拒绝「后来者」的请求

这样一来,无论 NPC 哪种异常情况发生,都可以保证分布式锁的安全性,因为它是建立在「异步模型」上的。
而 Redlock 无法提供类似 fecing token 的方案,所以它无法保证安全性。
他还表示,一个好的分布式锁,无论 NPC 怎么发生,可以不在规定时间内给出结果,但并不会给出一个错误的结果。也就是只会影响到锁的「性能」(或称之为活性),而不会影响它的「正确性」。
Martin 的结论:
1、Redlock 不伦不类:它对于效率来讲,Redlock 比较重,没必要这么做,而对于正确性来说,Redlock 是不够安全的。
2、时钟假设不合理:该算法对系统时钟做出了危险的假设(假设多个节点机器时钟都是一致的),如果不满足这些假设,锁就会失效。
3、无法保证正确性:Redlock 不能提供类似 fencing token 的方案,所以解决不了正确性的问题。为了正确性,请使用有「共识系统」的软件,例如 Zookeeper。
好了,以上就是 Martin 反对使用 Redlock 的观点,看起来有理有据。
下面我们来看 Redis 作者 Antirez 是如何反驳的。
Redis 作者 Antirez 的反驳
在 Redis 作者的文章中,重点有 3 个:
1) 解释时钟问题
首先,Redis 作者一眼就看穿了对方提出的最为核心的问题:时钟问题。
Redis 作者表示,Redlock 并不需要完全一致的时钟,只需要大体一致就可以了,允许有「误差」。
例如要计时 5s,但实际可能记了 4.5s,之后又记了 5.5s,有一定误差,但只要不超过「误差范围」锁失效时间即可,这种对于时钟的精度的要求并不是很高,而且这也符合现实环境。
对于对方提到的「时钟修改」问题,Redis 作者反驳到:
- 手动修改时钟:不要这么做就好了,否则你直接修改 Raft 日志,那 Raft 也会无法工作…
- 时钟跳跃:通过「恰当的运维」,保证机器时钟不会大幅度跳跃(每次通过微小的调整来完成),实际上这是可以做到的
为什么 Redis 作者优先解释时钟问题?因为在后面的反驳过程中,需要依赖这个基础做进一步解释。
2) 解释网络延迟、GC 问题
之后,Redis 作者对于对方提出的,网络延迟 wan、进程 GC 可能导致 Redlock 失效的问题,也做了反驳:
我们重新回顾一下,Martin 提出的问题假设:
- 客户端 1 请求锁定节点 A、B、C、D、E
- 客户端 1 的拿到锁后,进入 GC
- 所有 Redis 节点上的锁都过期了
- 客户端 2 获取节点 A、B、C、D、E 上的锁
- 客户端 1 GC 结束,认为成功获取锁
- 客户端 2 也认为获取到锁,发生「冲突」

Redis 作者反驳到,这个假设其实是有问题的,Redlock 是可以保证锁安全的。
这是怎么回事呢?
还记得前面介绍 Redlock 流程的那 5 步吗?这里我再拿过来让你复习一下。
- 客户端先获取「当前时间戳 T1」
- 客户端依次向这 5 个 Redis 实例发起加锁请求(用前面讲到的 SET 命令),且每个请求会设置超时时间(毫秒级,要远小于锁的有效时间),如果某一个实例加锁失败(包括网络超时、锁被其它人持有等各种异常情况),就立即向下一个 Redis 实例申请加锁
- 如果客户端从 3 个(大多数)以上 Redis 实例加锁成功,则再次获取「当前时间戳 T2」,如果 T2 - T1 < 锁的过期时间,此时,认为客户端加锁成功,否则认为加锁失败
- 加锁成功,去操作共享资源(例如修改 MySQL 某一行,或发起一个 API 请求)
- 加锁失败,向「全部节点」发起释放锁请求(前面讲到的 Lua 脚本释放锁)
注意,重点是 1-3,在步骤 3,加锁成功后为什么要重新获取「当前时间戳 T2」?还用 T2 - T1 的时间,与锁的过期时间做比较?
Redis 作者强调:如果在 1-3 发生了网络延迟、进程 GC 等耗时长的异常情况,那在第 3 步 T2 - T1,是可以检测出来的,如果超出了锁设置的过期时间,那这时就认为加锁会失败,之后释放所有节点的锁就好了!
Redis 作者继续论述,如果对方认为,发生网络延迟、进程 GC 是在步骤 3 之后,也就是客户端确认拿到了锁,去操作共享资源的途中发生了问题,导致锁失效,那这不止是 Redlock 的问题,任何其它锁服务例如 Zookeeper,都有类似的问题,这不在讨论范畴内。
这里我举个例子解释一下这个问题:
- 客户端通过 Redlock 成功获取到锁(通过了大多数节点加锁成功、加锁耗时检查逻辑)
- 客户端开始操作共享资源,此时发生网络延迟、进程 GC 等耗时很长的情况
- 此时,锁过期自动释放
- 客户端开始操作 MySQL(此时的锁可能会被别人拿到,锁失效)
Redis 作者这里的结论就是:
- 客户端在拿到锁之前,无论经历什么耗时长问题,Redlock 都能够在第 3 步检测出来
- 客户端在拿到锁之后,发生 NPC,那 Redlock、Zookeeper 都无能为力
所以,Redis 作者认为 Redlock 在保证时钟正确的基础上,是可以保证正确性的。
3) 质疑 fencing token 机制
Redis 作者对于对方提出的 fecing token 机制,也提出了质疑,主要分为 2 个问题,这里最不宜理解,请跟紧我的思路。
第一,这个方案必须要求要操作的「共享资源服务器」有拒绝「旧 token」的能力。
例如,要操作 MySQL,从锁服务拿到一个递增数字的 token,然后客户端要带着这个 token 去改 MySQL 的某一行,这就需要利用 MySQL 的「事物隔离性」来做。
|
|
但如果操作的不是 MySQL 呢?例如向磁盘上写一个文件,或发起一个 HTTP 请求,那这个方案就无能为力了,这对要操作的资源服务器,提出了更高的要求。
也就是说,大部分要操作的资源服务器,都是没有这种互斥能力的。
再者,既然资源服务器都有了「互斥」能力,那还要分布式锁干什么?
所以,Redis 作者认为这个方案是站不住脚的。
第二,退一步讲,即使 Redlock 没有提供 fecing token 的能力,但 Redlock 已经提供了随机值(就是前面讲的 UUID),利用这个随机值,也可以达到与 fecing token 同样的效果。
如何做呢?
Redis 作者只是提到了可以完成 fecing token 类似的功能,但却没有展开相关细节,根据我查阅的资料,大概流程应该如下,如有错误,欢迎交流~
- 客户端使用 Redlock 拿到锁
- 客户端在操作共享资源之前,先把这个锁的 VALUE,在要操作的共享资源上做标记
- 客户端处理业务逻辑,最后,在修改共享资源时,判断这个标记是否与之前一样,一样才修改(类似 CAS 的思路)
还是以 MySQL 为例,举个例子就是这样的:
- 客户端使用 Redlock 拿到锁
- 客户端要修改 MySQL 表中的某一行数据之前,先把锁的 VALUE 更新到这一行的某个字段中(这里假设为 current_token 字段)
- 客户端处理业务逻辑
- 客户端修改 MySQL 的这一行数据,把 VALUE 当做 WHERE 条件,再修改
|
|
可见,这种方案依赖 MySQL 的事物机制,也达到对方提到的 fecing token 一样的效果。
但这里还有个小问题,是网友参与问题讨论时提出的:两个客户端通过这种方案,先「标记」再「检查 + 修改」共享资源,那这两个客户端的操作顺序无法保证啊?
而用 Martin 提到的 fecing token,因为这个 token 是单调递增的数字,资源服务器可以拒绝小的 token 请求,保证了操作的「顺序性」!
Redis 作者对于这个问题做了不同的解释,我觉得很有道理,他解释道:分布式锁的本质,是为了「互斥」,只要能保证两个客户端在并发时,一个成功,一个失败就好了,不需要关心「顺序性」。
前面 Martin 的质疑中,一直很关心这个顺序性问题,但 Redis 的作者的看法却不同。
综上,Redis 作者的结论:
1、作者同意对方关于「时钟跳跃」对 Redlock 的影响,但认为时钟跳跃是可以避免的,取决于基础设施和运维。
2、Redlock 在设计时,充分考虑了 NPC 问题,在 Redlock 步骤 3 之前出现 NPC,可以保证锁的正确性,但在步骤 3 之后发生 NPC,不止是 Redlock 有问题,其它分布式锁服务同样也有问题,所以不在讨论范畴内。
是不是觉得很有意思?
在分布式系统中,一个小小的锁,居然可能会遇到这么多问题场景,影响它的安全性!
不知道你看完双方的观点,更赞同哪一方的说法呢?
别急,后面我还会综合以上论点,谈谈自己的理解。
好,讲完了双方对于 Redis 分布锁的争论,你可能也注意到了,Martin 在他的文章中,推荐使用 Zookeeper 实现分布式锁,认为它更安全,确实如此吗?
基于 Zookeeper 的锁安全吗?
如果你有了解过 Zookeeper,基于它实现的分布式锁是这样的:
- 客户端 1 和 2 都尝试创建「临时节点」,例如 /lock
- 假设客户端 1 先到达,则加锁成功,客户端 2 加锁失败
- 客户端 1 操作共享资源
- 客户端 1 删除 /lock 节点,释放锁
你应该也看到了,Zookeeper 不像 Redis 那样,需要考虑锁的过期时间问题,它是采用了「临时节点」,保证客户端 1 拿到锁后,只要连接不断,就可以一直持有锁。
而且,如果客户端 1 异常崩溃了,那么这个临时节点会自动删除,保证了锁一定会被释放。
不错,没有锁过期的烦恼,还能在异常时自动释放锁,是不是觉得很完美?
其实不然。
思考一下,客户端 1 创建临时节点后,Zookeeper 是如何保证让这个客户端一直持有锁呢?
原因就在于,客户端 1 此时会与 Zookeeper 服务器维护一个 Session,这个 Session 会依赖客户端「定时心跳」来维持连接。
如果 Zookeeper 长时间收不到客户端的心跳,就认为这个 Session 过期了,也会把这个临时节点删除。

同样地,基于此问题,我们也讨论一下 GC 问题对 Zookeeper 的锁有何影响:
- 客户端 1 创建临时节点 /lock 成功,拿到了锁
- 客户端 1 发生长时间 GC
- 客户端 1 无法给 Zookeeper 发送心跳,Zookeeper 把临时节点「删除」
- 客户端 2 创建临时节点 /lock 成功,拿到了锁
- 客户端 1 GC 结束,它仍然认为自己持有锁(冲突)
可见,即使是使用 Zookeeper,也无法保证进程 GC、网络延迟异常场景下的安全性。
这就是前面 Redis 作者在反驳的文章中提到的:如果客户端已经拿到了锁,但客户端与锁服务器发生「失联」(例如 GC),那不止 Redlock 有问题,其它锁服务都有类似的问题,Zookeeper 也是一样!
所以,这里我们就能得出结论了:一个分布式锁,在极端情况下,不一定是安全的。
如果你的业务数据非常敏感,在使用分布式锁时,一定要注意这个问题,不能假设分布式锁 100% 安全。
好,现在我们来总结一下 Zookeeper 在使用分布式锁时优劣:
Zookeeper 的优点:
- 不需要考虑锁的过期时间
- watch 机制,加锁失败,可以 watch 等待锁释放,实现乐观锁
但它的劣势是:
- 性能不如 Redis
- 部署和运维成本高
- 客户端与 Zookeeper 的长时间失联,锁被释放问题
我对分布式锁的理解
好了,前面详细介绍了基于 Redis 的 Redlock 和 Zookeeper 实现的分布锁,在各种异常情况下的安全性问题,下面我想和你聊一聊我的看法,仅供参考,不喜勿喷。
1) 到底要不要用 Redlock?
前面也分析了,Redlock 只有建立在「时钟正确」的前提下,才能正常工作,如果你可以保证这个前提,那么可以拿来使用。
但保证时钟正确,我认为并不是你想的那么简单就能做到的。
第一,从硬件角度来说,时钟发生偏移是时有发生,无法避免的。
例如,CPU 温度、机器负载、芯片材料都是有可能导致时钟发生偏移。
第二,从我的工作经历来说,曾经就遇到过时钟错误、运维暴力修改时钟的情况发生,进而影响了系统的正确性,所以,人为错误也是很难完全避免的。
所以,我对 Redlock 的个人看法是,尽量不用它,而且它的性能不如单机版 Redis,部署成本也高,我还是会优先考虑使用 Redis「主从 + 哨兵」的模式,实现分布式锁。
那正确性如何保证呢?第二点给你答案。
2) 如何正确使用分布式锁?
在分析 Martin 观点时,它提到了 fecing token 的方案,给我了很大的启发,虽然这种方案有很大的局限性,但对于保证「正确性」的场景,是一个非常好的思路。
所以,我们可以把这两者结合起来用:
1、使用分布式锁,在上层完成「互斥」目的,虽然极端情况下锁会失效,但它可以最大程度把并发请求阻挡在最上层,减轻操作的压力。资源层
2、但对于要求数据绝对正确的业务,在资源层一定要做好「兜底」,设计思路可以借鉴 fecing token 的方案来做。
两种思路结合,我认为对于大多数业务场景,已经可以满足要求了。
总结
好了,总结一下。
我们主要探讨了基于 Redis 实现的分布式锁,究竟是否安全这个问题。
从最简单分布式锁的实现,到处理各种异常场景,再到引出 Redlock,以及两个分布式专家的辩论,得出了 Redlock 的适用场景。
最后,我们还对比了 Zookeeper 在做分布式锁时,可能会遇到的问题,以及与 Redis 的差异。
这里我把这些内容总结成了思维导图,方便你理解。

后记
这些内容的信息量其实是非常大的,我觉得应该把分布锁的问题,彻底讲清楚了。
如果你没有理解,我建议你多读几遍,并在脑海中构建各种假定的场景,反复思辨。
我在阅读两位大神关于 Redlock 争辩的这两篇文章,可谓是是收获满满,在这里也分享一些心得给你。
1、在分布式系统环境下,看似完美的设计方案,可能并不是那么「严丝合缝」,如果稍加推敲,就会发现各种问题。所以,在思考分布式系统问题时,一定要谨慎再谨慎。
2、从 Redlock 的争辩中,我们不要过多关注对错,而是要多学习大神的思考方式,以及对一个问题严格审查的严谨精神。
最后,用 Martin 在对于 Redlock 争论过后,写下的感悟来结尾:
“前人已经为我们创造出了许多伟大的成果:站在巨人的肩膀上,我们可以才得以构建更好的软件。无论如何,通过争论和检查它们是否经得起别人的详细审查,这是学习过程的一部分。但目标应该是获取知识,而不是为了说服别人,让别人相信你是对的。有时候,那只是意味着停下来,好好地想一想。 ”
共勉。
如果内容对你有所收获,辛苦点个赞、关注一下我 @Kaito 哦。
我是 Kaito,是一个对于技术有思考的资深后端程序员,喜欢深度剖析技术问题并写成文章,在我的文章中,我不仅会告诉你一个技术点是什么,还会告诉你为什么这么做?我还会尝试把这些思考过程,提炼成通用的方法论,让你可以应用在其它领域中,做到举一反三。
还想看更多硬核技术文章?快来 !关注我
普通熊猫
高能预警:我下面的答案可能会颠覆大多数人对分布式锁的认知:
- 先说不重要的:Redis 锁与 zk 锁有很多实现细节的不同,比如 setnx,lua,redlock,临时节点,主动通知,redission,curator 等,这些网上有大把,而且,这也有可能是面试中考官真正想问的问题。
- 对于可靠性,多数文章会告诉你 zk 锁比 Redis 锁更可靠,毕竟 zk 是专业做分布式协调服务的嘛!
- 然而,实际情况是:无论是 Redis 锁还是 zk 锁,亦或是基于 etcd, consul 等实现的分布式锁,都回避不了同一个问题:持有锁的进程 A 在处理业务的过程中,同一把锁有可能在 A 不知情的情况下被进程 B 拿走。
- 分布式系统有几个无法回避的问题,我把它们称为 NPC 问题,N 主要指 Network delay 网络延迟,P 是指 Process pause 进程暂停,C 指代 Clock drift 时钟漂移 。
- 以进程暂停为例,进程 A 刚刚拿到分布式锁,然后因为 GC 等原因进程被冻结暂停,过去 1 分钟之后,分布式锁超时了,进程 B 顺利抢到同一把锁,接下来进程 A 的 GC 结束了。好了,现在俩进程都觉得自己是锁的唯一持有人,然后开始快乐的编辑数据。
- 你会发现,NPC 问题跟使用 Redis 还是 zk 没有关系,它就客观摆在那里。
- 我知道的解决这个问题最简单的办法是使用 fencing token,也就是获取锁的时候,同步创建一个自增的全局唯一 id,同时 DB(数据库)中会记录最后一次碰见的全局唯一 id。这样,当修改数据时,数据库原子性的比较进程提供的全局唯一 id 是不是最大的,如果不是,说明该进程持有的锁已经过期了。
- 评论区有人问 uuid 或 snowflake 算法是否可以充当自增的全局唯一 id。我认为是不可以的,它们不满足自增这一要求,甚至无法保证完全不重复这一点,只是说重复的概率比较低。因为我这里是从逻辑正确的角度分析分布式锁,因此概率再低也会影响正确性。
- 那么如何创建自增的全局唯一 id 呢?这其实不是一个简单问题,在分布式系统中,这个问题叫 『可线性化的比较 - 设置寄存器』,它等价于分布式共识问题。要想全面的解决这个问题,需要启用 paxos, raft 等分布式共识算法。不过实践上,通常可以考虑以下方案:
- 使用分布式协调服务,比如 etcd, consul, zookeeper。比如使用 zookeeper 的话,可以使用 zxid 或 cversion。
- 使用单主节点的集中式服务(一般称为发号器),配合定时落盘,基本上可以随意发挥,唯一的问题就是单点故障问题。通过 supervisor 或 docker 监控进程并自动重启,可以解决进程意外崩溃的问题,但对硬件故障仍然无能为力。
- 如果是单主节点 redis,可以使用 incr 维护计数器。注意:不应该使用可以自动切主功能的 sentinel 哨兵等方式,数据同步延迟会重新带来麻烦。
- 如果是单主节点 DB,则需要注意的是:不要在事务内自增这个 id,因为事务失败会回滚,这可能会导致多个客户端拿到同样的 id。
- 我曾写过几篇公众号文章,解释相关问题,方便的话可以看一看:
13. 看似忠良的分布式锁20. 极简分布式共识算法24. 分布式系统的困境与 NPC 性别研究
小知
为什么用分布式锁?
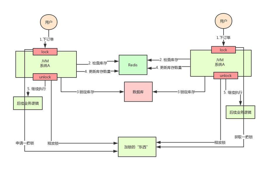
在讨论这个问题之前,我们先来看一个业务场景:
系统 A 是一个电商系统,目前是一台机器部署,系统中有一个用户下订单的接口,但是用户下订单之前一定要去检查一下库存,确保库存足够了才会给用户下单。
由于系统有一定的并发,所以会预先将商品的库存保存在 redis 中,用户下单的时候会更新 redis 的库存。
此时系统架构如下:

但是这样一来会产生一个问题:假如某个时刻,redis 里面的某个商品库存为 1,此时两个请求同时到来,其中一个请求执行到上图的第 3 步,更新数据库的库存为 0,但是第 4 步还没有执行。
而另外一个请求执行到了第 2 步,发现库存还是 1,就继续执行第 3 步。
这样的结果,是导致卖出了 2 个商品,然而其实库存只有 1 个。
很明显不对啊!这就是典型的库存超卖问题
此时,我们很容易想到解决方案:用锁把 2、3、4 步锁住,让他们执行完之后,另一个线程才能进来执行第 2 步。

按照上面的图,在执行第 2 步时,使用 Java 提供的 synchronized 或者 ReentrantLock 来锁住,然后在第 4 步执行完之后才释放锁。
这样一来,2、3、4 这 3 个步骤就被 “锁” 住了,多个线程之间只能串行化执行。
但是好景不长,整个系统的并发飙升,一台机器扛不住了。现在要增加一台机器,如下图:

增加机器之后,系统变成上图所示,我的天!
假设此时两个用户的请求同时到来,但是落在了不同的机器上,那么这两个请求是可以同时执行了,还是会出现库存超卖的问题。
为什么呢?因为上图中的两个 A 系统,运行在两个不同的 JVM 里面,他们加的锁只对属于自己 JVM 里面的线程有效,对于其他 JVM 的线程是无效的。
因此,这里的问题是:Java 提供的原生锁机制在多机部署场景下失效了
这是因为两台机器加的锁不是同一个锁 (两个锁在不同的 JVM 里面)。
那么,我们只要保证两台机器加的锁是同一个锁,问题不就解决了吗?
此时,就该分布式锁隆重登场了,分布式锁的思路是:
在整个系统提供一个全局、唯一的获取锁的 “东西”,然后每个系统在需要加锁时,都去问这个“东西” 拿到一把锁,这样不同的系统拿到的就可以认为是同一把锁。
至于这个 “东西”,可以是 Redis、Zookeeper,也可以是数据库。
文字描述不太直观,我们来看下图:

通过上面的分析,我们知道了库存超卖场景在分布式部署系统的情况下使用 Java 原生的锁机制无法保证线程安全,所以我们需要用到分布式锁的方案。
那么,如何实现分布式锁呢?接着往下看!
基于 Redis 实现分布式锁
上面分析为啥要使用分布式锁了,这里我们来具体看看分布式锁落地的时候应该怎么样处理。扩展:Redisson 是如何实现分布式锁的?
最常见的一种方案就是使用 Redis 做分布式锁
使用 Redis 做分布式锁的思路大概是这样的:在 redis 中设置一个值表示加了锁,然后释放锁的时候就把这个 key 删除。
具体代码是这样的:
|
|
这种方式有几大要点:
- 一定要用 SET key value NX PX milliseconds 命令 如果不用,先设置了值,再设置过期时间,这个不是原子性操作,有可能在设置过期时间之前宕机,会造成死锁 (key 永久存在)
- value 要具有唯一性 这个是为了在解锁的时候,需要验证 value 是和加锁的一致才删除 key。 这是避免了一种情况:假设 A 获取了锁,过期时间 30s,此时 35s 之后,锁已经自动释放了,A 去释放锁,但是此时可能 B 获取了锁。A 客户端就不能删除 B 的锁了。

除了要考虑客户端要怎么实现分布式锁之外,还需要考虑 redis 的部署问题。
redis 有 3 种部署方式:
- 单机模式
- master-slave + sentinel 选举模式
- redis cluster 模式
使用 redis 做分布式锁的缺点在于:如果采用单机部署模式,会存在单点问题,只要 redis 故障了。加锁就不行了。
采用 master-slave 模式,加锁的时候只对一个节点加锁,即便通过 sentinel 做了高可用,但是如果 master 节点故障了,发生主从切换,此时就会有可能出现锁丢失的问题。
基于以上的考虑,其实 redis 的作者也考虑到这个问题,他提出了一个 RedLock 的算法,这个算法的意思大概是这样的:
假设 redis 的部署模式是 redis cluster,总共有 5 个 master 节点,通过以下步骤获取一把锁:
- 获取当前时间戳,单位是毫秒
- 轮流尝试在每个 master 节点上创建锁,过期时间设置较短,一般就几十毫秒
- 尝试在大多数节点上建立一个锁,比如 5 个节点就要求是 3 个节点(n / 2 +1)
- 客户端计算建立好锁的时间,如果建立锁的时间小于超时时间,就算建立成功了
- 要是锁建立失败了,那么就依次删除这个锁
- 只要别人建立了一把分布式锁,你就得不断轮询去尝试获取锁
但是这样的这种算法还是颇具争议的,可能还会存在不少的问题,无法保证加锁的过程一定正确。

另一种方式:Redisson
此外,实现 Redis 的分布式锁,除了自己基于 redis client 原生 api 来实现之外,还可以使用开源框架:Redission
Redisson 是一个企业级的开源 Redis Client,也提供了分布式锁的支持。我也非常推荐大家使用,为什么呢?
回想一下上面说的,如果自己写代码来通过 redis 设置一个值,是通过下面这个命令设置的。
- SET anyLock unique_value NX PX 30000
这里设置的超时时间是 30s,假如我超过 30s 都还没有完成业务逻辑的情况下,key 会过期,其他线程有可能会获取到锁。
这样一来的话,第一个线程还没执行完业务逻辑,第二个线程进来了也会出现线程安全问题。所以我们还需要额外的去维护这个过期时间,太麻烦了~
我们来看看 redisson 是怎么实现的?先感受一下使用 redission 的爽:
|
|
就是这么简单,我们只需要通过它的 api 中的 lock 和 unlock 即可完成分布式锁,他帮我们考虑了很多细节:
- redisson 所有指令都通过 lua 脚本执行,redis 支持 lua 脚本原子性执行
- redisson 设置一个 key 的默认过期时间为 30s, 如果某个客户端持有一个锁超过了 30s 怎么办?
redisson 中有一个
watchdog的概念,翻译过来就是看门狗,它会在你获取锁之后,每隔 10 秒帮你把 key 的超时时间设为 30s 这样的话,就算一直持有锁也不会出现 key 过期了,其他线程获取到锁的问题了。 - redisson 的 “看门狗” 逻辑保证了没有死锁发生。 (如果机器宕机了,看门狗也就没了。此时就不会延长 key 的过期时间,到了 30s 之后就会自动过期了,其他线程可以获取到锁)

这里稍微贴出来其实现代码:
|
|
|
|
基于 zookeeper 实现分布式锁
常见的分布式锁实现方案里面,除了使用 redis 来实现之外,使用 zookeeper 也可以实现分布式锁。
在介绍 zookeeper(下文用 zk 代替) 实现分布式锁的机制之前,先粗略介绍一下 zk 是什么东西:
Zookeeper 是一种提供配置管理、分布式协同以及命名的中心化服务。
zk 的模型是这样的:zk 包含一系列的节点,叫做 znode,就好像文件系统一样每个 znode 表示一个目录,然后 znode 有一些特性:
- 有序节点:假如当前有一个父节点为
/lock,我们可以在这个父节点下面创建子节点; zookeeper 提供了一个可选的有序特性,例如我们可以创建子节点 “/lock/node-” 并且指明有序,那么 zookeeper 在生成子节点时会根据当前的子节点数量自动添加整数序号 也就是说,如果是第一个创建的子节点,那么生成的子节点为/lock/node-0000000000,下一个节点则为/lock/node-0000000001,依次类推。 - 临时节点:客户端可以建立一个临时节点,在会话结束或者会话超时后,zookeeper 会自动删除该节点。
- 事件监听:在读取数据时,我们可以同时对节点设置事件监听,当节点数据或结构变化时,zookeeper 会通知客户端。当前 zookeeper 有如下四种事件:
- 节点创建
- 节点删除
- 节点数据修改
- 子节点变更
基于以上的一些 zk 的特性,我们很容易得出使用 zk 实现分布式锁的落地方案:
- 使用 zk 的临时节点和有序节点,每个线程获取锁就是在 zk 创建一个临时有序的节点,比如在 / lock / 目录下。
- 创建节点成功后,获取 / lock 目录下的所有临时节点,再判断当前线程创建的节点是否是所有的节点的序号最小的节点
- 如果当前线程创建的节点是所有节点序号最小的节点,则认为获取锁成功。
- 如果当前线程创建的节点不是所有节点序号最小的节点,则对节点序号的前一个节点添加一个事件监听。
比如当前线程获取到的节点序号为
/lock/003, 然后所有的节点列表为[/lock/001,/lock/002,/lock/003], 则对/lock/002这个节点添加一个事件监听器。
如果锁释放了,会唤醒下一个序号的节点,然后重新执行第 3 步,判断是否自己的节点序号是最小。
比如/lock/001释放了,/lock/002监听到时间,此时节点集合为[/lock/002,/lock/003], 则/lock/002为最小序号节点,获取到锁。
整个过程如下:

具体的实现思路就是这样,至于代码怎么写,这里比较复杂就不贴出来了。
Curator 介绍
Curator 是一个 zookeeper 的开源客户端,也提供了分布式锁的实现。
他的使用方式也比较简单:
|
|
其实现分布式锁的核心源码如下:
|
|
其实 curator 实现分布式锁的底层原理和上面分析的是差不多的。这里我们用一张图详细描述其原理:

小结:
本节介绍了 zookeeperr 实现分布式锁的方案以及 zk 的开源客户端的基本使用,简要的介绍了其实现原理。相关可以参考:肝一下 ZooKeeper 实现分布式锁的方案,附带实例!
两种方案的优缺点比较
学完了两种分布式锁的实现方案之后,本节需要讨论的是 redis 和 zk 的实现方案中各自的优缺点。
对于 redis 的分布式锁而言,它有以下缺点:
- 它获取锁的方式简单粗暴,获取不到锁直接不断尝试获取锁,比较消耗性能。
- 另外来说的话,redis 的设计定位决定了它的数据并不是强一致性的,在某些极端情况下,可能会出现问题。锁的模型不够健壮
- 即便使用 redlock 算法来实现,在某些复杂场景下,也无法保证其实现 100% 没有问题,关于 redlock 的讨论可以看 How to do distributed locking
- redis 分布式锁,其实需要自己不断去尝试获取锁,比较消耗性能。
但是另一方面使用 redis 实现分布式锁在很多企业中非常常见,而且大部分情况下都不会遇到所谓的 “极端复杂场景”
所以使用 redis 作为分布式锁也不失为一种好的方案,最重要的一点是 redis 的性能很高,可以支撑高并发的获取、释放锁操作。
对于 zk 分布式锁而言:
- zookeeper 天生设计定位就是分布式协调,强一致性。锁的模型健壮、简单易用、适合做分布式锁。
- 如果获取不到锁,只需要添加一个监听器就可以了,不用一直轮询,性能消耗较小。
但是 zk 也有其缺点:如果有较多的客户端频繁的申请加锁、释放锁,对于 zk 集群的压力会比较大。
小结:
综上所述,redis 和 zookeeper 都有其优缺点。我们在做技术选型的时候可以根据这些问题作为参考因素。
建议
通过前面的分析,实现分布式锁的两种常见方案:redis 和 zookeeper,他们各有千秋。应该如何选型呢?
就个人而言的话,我比较推崇 zk 实现的锁:
因为 redis 是有可能存在隐患的,可能会导致数据不对的情况。但是,怎么选用要看具体在公司的场景了。
如果公司里面有 zk 集群条件,优先选用 zk 实现,但是如果说公司里面只有 redis 集群,没有条件搭建 zk 集群。
那么其实用 redis 来实现也可以,另外还可能是系统设计者考虑到了系统已经有 redis,但是又不希望再次引入一些外部依赖的情况下,可以选用 redis。
这个是要系统设计者基于架构的考虑了
来源:石杉的架构笔记
推荐
【练手项目】基于 SpringBoot 的 ERP 系统,自带进销存 + 财务 + 生产功能分享一套基于 SpringBoot 和 Vue 的企业级中后台开源项目,代码很规范!能挣钱的,开源 SpringBoot 商城系统,功能超全,超漂亮!
Kaito